python
scrapy爬虫入门
现在说到爬虫,大家都会或多或少地将 python 和爬虫联系在一起,归根到底,是因为 python 丰富的生态和灵活简单的语法。同时基于 python 存在有几个强大的爬虫框架,极大地降低了爬虫的难度,提高了编写程序的效率。最近我也体验了一下 scrapy,算是做一个入门的记录吧…
大道至简——virtualenv介绍
python因为丰富的扩展库被大家所青睐,但是当开发环境中的第三方包越来越多的时候,基于该开发环境开发的应用越来越难以移植、迁移。像在操作系统中我们可以用容器(例如docker)将开发环境和生产环境分开,在做 python 的应用开发的时候…
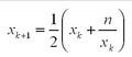
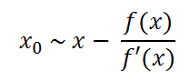
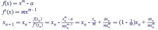
python实现牛顿法迭代法
最近看到牛顿迭代法和二分法,现在用 python 实现一下 拿开方举例,转载自Python 编程实现二分法和牛顿迭代法求平方根代码
一、使用二分法实现开方
假设求根号 5,二分法的基本思路是
Copy
a:折半: 5/2=2.5
b:平方校验: 2.5*2.5=6.25>5…














